Die Homepage von Joachim Mohr  

Rechenschema und Beispiele


Gleichung 4. Grades

Zerlegung in ein Produkt von zwei quadratischen Gleichungen (Formel von J.Mohr)

x4+ax3+bx2+cx+d=(x2+px+q)(x2+sx+t)

Beispiel:

Zerlegung eine Gleichung 4. Grades in quadratische Faktoren

mehr ...

Alte Version

Übertragen nach WP. Eine schöne Darstellung von Ulrich Warnecke finden sie hier

Kurzfassung

Gesucht: p,q und s,t mit:

 4    3   2           2         2
x + ax +bx +cx +d = (x +px+q)·(x +sx +t)

Lösung (Die Formel von Joachim Mohr): 

Bestimme eine Lösung u der Gleichung 3. Grades 

    3     2         2          2         2
   u - 2bu + (ac + b - 4d)u + c - abc + a d = 0.

(Falls a, b, c, d reell ist, gibt es ein reelles u mit 4u ≤ a2.)
Dann errechnen sich die Koeffizienten, p,q und s,t folgendermaßen.
p_q_s_t

Zum Rechenschema und Beispiele

(Sonderfall a2-4u=0 d.h. p=a/2 siehe hier ...)

Beispiel:

x4+6x3+18x2+30x+25=0

Rechnung:

Eine Lösung der Gleichung u3-36u2+404u-1440=0 ist u=8.
Daraus ergibt sich x4+6x3+18x2+30x+25=(x2 + 4x +5)(x2 + 2x + 5).
Die Lösungen sind: x1,2 = -2±i und x3,4 = -1±2i

Ausführliche Herleitung

Polynom 4. Grades als Produkt zweier quadr. Polynome

Hier wird gezeigt wie man die quadratischen Teiler
g(x)=x2+px+q und
h(x)=x2+sx+t eines Polynoms
f(x)=x4+ax3+bx2+cx+d
mit Hilfe einer Lösung einer kubischen Gleichung berechnen kann.

x4+ax3+bx2+cx+d=(x2+px+q)(x2+sx+t)

Und damit hat man auch die Möglichkeit über die quadratische Gleichung die Nullstellen des Polynoms 4. Grades zu berechnen.

Nützlich ist dieses Verfahren vor allem für reelle Koeefizienten a,b,c und d. Der Lösungsansatz ist jedoch auch für komplexe Koeefizienten denkbar.

                      4    3    2                        
Dividiert man f(x) = x + ax + bx  + cx + d 
 
               2
durch g(x) = x   + px + q

so erhält man

f(x)=g(x)·h(x) + r(x), ausführlich

 4    3    2            2            2
x + ax + bx + cx +d = (x + px + q)·(x + sx + t) + r(x)

                                 2
mit s = a - p, t = b - q - ap + p  und

                   2   3                        
r(x) = (c - bp + ap - p - aq + 2pq)x 

                    2         2 
       + (d - bq + q + apq - p q)  
          

Damit r(x)=0 wird, müssen wird also eine Lösung (p,q) des folgenden Gleichungssystems finden:

c-bp+ap2-p3-aq+2pq=0 (1)
d-bq+q2+apq-p2q=0 (2)

Gleichung (1) nach q aufgelöst ergibt

   3    2
  p - ap + bp-c                 a 
q=————————————— (Sonderfall p = — siehe hier ...)
     2p -a                      2
Wird dies in die Gleichung (2) eingesetzt, kommt man auf die Gleichung 6. Grades, die sich aber mit Hilfe einer Gleichung 3. Grades lösen läßt.
 6    5     2      4    3      3          2    2   2     2  2           2  2
p -3ap + (3a + 2b)p +(-a -4ba)p + (ac-4d+b + 2a b)p +(-ab -a c+4ad)p+(-c -a d +abc)=0

Mit der Substitution u=p(a-p) vereinfacht sich diese Gleichung zu einer Gleichung 3. Grades, nämlich zu
u3 - 2bu2 + (ac + b2 - 4d)u + c2 - abc + a2d = 0

u=p(a-p) nach p aufgelöst ergibt

p=1/2a+1/2*sqrt(a^2-4u)
(Wähle dabei u so, dass a2≥4u, falls a, b, c und d reell.)
Wir erhalten also bei reellen Koeffizienten für u mindestens eine reelle Lösung.

Hat man p bestimmt, so kann man q, s und t nach folgender Rechnung bestimmen:
     3   2
    p -ap +bp-c                      2
q = ———————————, s=a-p und t=b-q-ap+p
       2p-a

        —————
       /2   
mit w=√a - 4u erhält man die oben angegebenen Formeln.

Beispiel a)

f(x)=x4 + x3 + x2 + x + 1

führt auf die Gleichung u3 - 2u2 - 2u + 1 mit einer Lösung u = -1
Somit f(x)=(x2+(-1/2·√5 +1/2)x+1)·(x2+(1/2+1/2·√5)x+1)

Beispiel b)

f(x)=x4 - x3 + 2x2 - x + 1


führt auf die Gleichung u3 - 4u2 + u = 0 mit einer Lösung u = 0
Und damit ergibt sich f(x)=(x2-x+1)(x2+1)


Beispiel c)

f(x)=x4 - x3 + 2x2 - 3x + 1

führt auf die Gleichung
u3 - 4u2 + 3u + 4 = 0 mit einer Lösung u = -0,658967081916994102
                        2               —————————
                      -w +4w-7        3/      ———
Der genaue Wert ist u=———————— mit  w=\/44+3\/177.
                        3w
Damit berechnet sich:

p=0,45339765151640378
q=2,20556943040059031
s=-1,45339765151640378
t=0,453397651516403796


x1=-0,226698825758201897 + 1,46771150871022426i
x2=-0,226698825758201896 - 1,46771150871022426i
x3=1
x4=0,453397651516403857

Somit
f(x)=(x2+0,453397651516x+2,205569430401)·(x2-1,453397651516x+0,453397651516)


Beispiel d)

f(x)=x4+2x3-14x2+2x+1


führt auf die Gleichung u3 + 28u2 + 196u + 64 = 0 mit einer Lösung u = -16
Damit berechnet sich:
p=1+sqrt(17)
q=1
s=1-sqrt(17)
t=1

Die Lösungen sind somit:

x1=1/2*sqrt(17)-1/2+1/2*sqrt(14-2*sqrt(17))
x2=1/2*sqrt(17)-1/2-1/2*sqrt(14-2*sqrt(17))
x3=-1/2-1/2*sqrt(17)+1/2*sqrt(14+2*sqrt(17))
x4=-1/2-1/2*sqrt(17)-1/2*sqrt(14+2*sqrt(17))


x1=2,76090563295441601
x2=0,362199992663244539
x3=-0,203258341626567109
x4=-4,91984728399109344

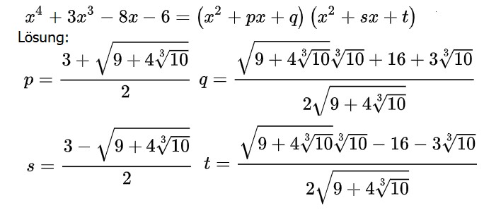
Beispiel e)

Für f(x)=x4+3x3-8x-6 (a=3, b=0, c=-8, d= -6) erhält man die Gleichung
z3+10 = 0 mit der Lösung u= -101/3.

Das Rechenschema liefert in diesem Fall die Werte:


p=(3+h)/2 = 3,598674508
q=(h*w+16+3*w)/(2*(9+4*w)^(1/2)) = 3,753109199
s=(3-h)/2 = -0,598674508
t=(h*w-16-3*w)/(2*h) = -1.598674508
mit w=10^(1/3) und h := sqrt(9+4*w)
Zerlegung eine Gleichung 4. Grades in quadratische Faktoren


x1 = -1,7993372539+I*0,7179795572
x2 = -1,7993372539+I*0,7179795572
x3 = 1,5986745079
x4 = -1

Beispiel f)

Für f(x)=16x4+8x3-16x2-8x+1 (a=1/2, b=-1, c=-1/2 und d=1/16) erhält man die Gleichung
z3+2z2+1/2z+1/64 = 0 mit der Lösung u= -1/4. Das Rechenschema liefert in diesem Fall die Werte:

p=1/4+1/4*sqrt(5)
q=-3/8+1/8*sqrt(5)
s=-1/4*sqrt(5)+1/4
t=-1/8*sqrt(5)-3/8


x1=1/8*(sqrt(2)*sqrt(3)*sqrt(5-sqrt(5))-(sqrt(5)+1)) = cos(84°)
x2=-1/8*(sqrt(2)*sqrt(3)*sqrt(5-sqrt(5))+(sqrt(5)+1)) = -cos(24°)
x3=1/8*(sqrt(2)*sqrt(3)*sqrt(5+sqrt(5))+(sqrt(5)-1)) = cos(12°)
x4=-1/8*(sqrt(2)*sqrt(3)*sqrt(5+sqrt(5))-(sqrt(5)-1)) = -cos(48°)
(Die Cosinuswerte finden sich in dieser Tabelle. Aber das ist ein anderes Thema.)

Beispiel g)

Für f(x)=x4+5x3+3x2+6x+7 (a=5, b=3, c=6 und d=7)